+Advanced Search 中文版
Design and Analysis of High-Slope Treatment for Nanhai Avenue
Longxiang Ma , Jian He
Shanghai Municipal Engineering Design Institute (Group) Co., Ltd., Shanghai 200092 , China.
Abstract
Nanhai Avenue, located in Nanchong, Sichuan, is a major urban road built along mountains. The project involves the comprehensive treatment of a high and steep slope, which is characterized by elevated height, complex geological conditions, and a large volume of landslide mass. Moreover, the newly constructed bridge structure that is present adjacent to the slope poses strict requirements for slope deformation control. Based on the high-slope project on Nanhai Avenue in Nanchong, in this paper, a finite element model is constructed using Plaxis software to study support measures for high slopes. The results reveal that in slope protection, anti-slide piles play a crucial role in bearing the majority of the landslide force, and after prestress is applied, frame anchor cables can significantly share the landslide force, reducing the displacement and internal force of anti-slide pile shafts. Frame anchor cables transfer the landslide force to deep anchored soil layers, significantly reducing the deformation of soil behind piles, which plays a key role in controlling deformation of the bridge adjacent to the slope and ensuring the safety of the bridge structure. It is anticipated that the results of this study will provide reference data for similar projects in the future.
1 Project Overview
In recent years, owing to the combined effects of factors such as the intensification of global climate change and the increasing frequency of anthropogenic activities, the overall frequency at which geological disasters occur has tended to increase [1]. Owing to its vast territory, diverse geological structures, and complex topography, China is among the countries most severely affected by geological disasters worldwide [2]. With increasing urban development, urban boundaries are gradually expanding outward, inevitably posing issues related to mountain slopes. Multiple cases of slope failure tend to occur annually, causing significant losses of human life and property. Comprehensively studying the stability of slopes under complex geological conditions is crucial for engineering design and is related to the success or failure of entire projects.
Slopes along mountain roads are often more complex than those in other areas. In addition to ensuring the safety of the slopes themselves, consideration must also be given to their impact on roads. Moreover, owing to topographical constraints, mountain roads often pass in the form of bridges, which requires that in the design of slopes, strong emphasis should be placed on the impact of slopes on bridge structures.
Many scholars have researched this problem. Yang [3] proposed that bridge pile foundations on high and steep slopes in mountainous areas should be able to withstand the combined axial and horizontal loads from the superstructure, which allows the structure to resist the effects of landslide thrust on pile sides. Liu [4] conducted systematic research on aspects such as the stability of bridge foundation slopes, the embedding position of bridge foundations, and the bearing mechanism
of bridge foundations. However, few researchers have investigated the impact of slopes on bridge structures under the combined action of anti-slide piles and prestressed frame anchor cables.
Nanhai Avenue is located in Nanchong, Sichuan Province, and serves as the inaugural expressway in the Nanhai New City’s skeletal road network. It will play a pivotal role in guiding the development of Nanhai New City's road network, be crucial for initiating the development of surrounding areas, and will significantly contribute to promoting regional economic growth in Jialing District in Nanchong and enhancing the convenience of travel for citizens.
The Nanhai Avenue project starts at the intersection between Binjiang South Road and Wenfeng Avenue and ends before the Chengnan Expressway, with a total length of 3, 800 meters. The road is classified as an urban trunk road, with a design speed of 60 kilometers per hour, a road width of 50 meters, and a two-way six-lane road.
According to the onsite drilling data for this project, the surface overburden exposed at the site consists of the following:
(1) Artificial fill (Q₄^ml) from the Holocene series of the Quaternary System
(2) Alluvial–proluvial deposits (Q₄^al+pl) from the Holocene series of the Quaternary System
(3) Slope-proluvial deposits (Q₄^pl+dl)
(4) Landslide accumulation deposits (Q₄^del)
The bedrock belongs to the Suining Formation (J₃sn) of the Upper Jurassic Series, which is composed of brownish-red sandy mudstone interbedded with tan siltstone.
Figure1 Investigation of the distribution range of landslide accumulation
During this investigation, a large-scale landslide was identified (Figure1) . The elevation of the leading edge of the landslide is 273.0–278.0 m, whereas that of the trailing edge is approximately 364.80 m, resulting in a relative height difference of 65–87 m. The landslide has a tongue-like shape in plan view, with a primary sliding direction of approximately 9°; it extends approximately 110 m in the north‒south direction and is 130 m wide, with an estimated volume of 1.8×10⁵ m³.
The sliding body has a thickness ranging from 0 to 16.5 m, typically between 8.0 and 12.0 m, and is thicker in the central and frontal sections and thinner at the trailing edge; it primarily consists of 4-1 clay and 4-2 gravelly soils. The ground slope is relatively gentle in the front and middle sections (slope angle: 13–22°) but steeper in the rear section (slope angle: 31–51°) .
The sliding surface is primarily a circular arc-shaped failure surface formed within or at the base of 4-1 clay and 4-2 gravelly soil, with no obvious slickensides or polished surfaces observed in the boreholes. The slip bed consists of highly weathered sandy mudstone and 4-2 gravelly soil, with dip angles ranging from 8° to 51°—steeper in the middle and rear sections and gentler at the leading edge.
Instability in the landslide area is primarily attributed to the following factors:
Thick overburden with loose, highly fractured soil and numerous cracks.
A steep slope at the trailing edge.
A concave-shaped slope prone to weathering, unloading, and water accumulation.
The development of north-dipping joint J2 and weak interlayers contributing to rockfall debris accumulation.
Reduced shear strength of slope soil due to rainwater infiltration during the wet season.
Under the combined influence of these factors, the slope soil has moved downward along the internal failure surface, resulting in the formation of an unstable landslide.
2 Slope Overall Slope Design
This project involves slope support and landslide stabilization, with the following critical design priorities:
(1) Road safety at the slope toe: The intrinsic stability of the slope itself must be ensured to safeguard the road below.
(2) Bridge protection: Slope deformation must be controlled within permissible limits to prevent adverse impacts on bridge structures.
In terms of the overall design, the main line of Nanhai Avenue is located on a large landslide mass. Based on topographical conditions, the focus of slope design was on the typical cross-section shown in Figure2, where the road centerline is close to the slope toe and a bridge structure is present to cross the landslide body.
The retaining structure is designed as follows.
Anti-slide piles: Specifications: Φ2.5 m drilled cast-in-place piles, with a total length of 30 m, embedded 12 m into moderately weathered mudstone. Pile heads are interconnected by a 3.3 m × 1.5 m capping beam to enhance structural integrity.
Soil unloading: The front soil is excavated to expose approximately 7.5 m of the pile (including the capping beam) , reducing landslide thrust and providing space for anchor cable installation.
Anchorage: Each pile is reinforced with two 6 × Φ15.2@4, 000 mm anchor cables (1860 MPa steel strands) , which are locked at 600 kN per cable.
Frame anchor system for upper slope: The anchor cables are in a4 × Φ15.2@2, 000 × 2, 000 mm grid, locked at 400 kN per cable, to distribute loads and limit surface deformation.
To address the issue whereby the stress of the anchorage section in traditional prestressed anchor cables is concentrated near the anchor bearing body, which easily leads to cracking of the grouting body or progressive failure of the rock and soil mass, pressure-dispersed prestressed anchor cables were used in this project [5, 6]. This type of anchor cable disperses and transfers the load to the fixed sections at different depths within the borehole, making the distribution of axial force and bond stress in each unit anchorage section more uniform; it can also better control the relaxation of prestress and avoid excessive prestress loss.
Figure2 Investigation of the distribution range of landslide accumulation (unit: mm)
The pressure-dispersed anchor cable in Figure3 consists of two units of anchor cables. The lengths of the anchorage sections of each unit anchor cable are L1 and L2, which together form the anchorage section of the dispersed anchor cable. The length of the anchorage section of each unit anchor cable and the number of steel strands anchored by the steel bearing body were determined via calculations. The anchor cable body is made of unbonded prestressed steel strands with a strength of 1860 MPa and a diameter of Φ15.2.
Figure3 Pressure-dispersed prestressed anchor cables
The length of the anchorage section was determined via calculations. For example, for the prestressed anchor cables on the prestressed frame anchor cables, based on calculations, a standard bearing capacity of 400 kN was used, which is borne by two load-bearing bodies. The length of the anchorage section can be calculated using the following formula:
laKNakπDfrbk
(1)
where 𝑙 𝑎 is the length of the anchorage section; K is the anti-pulling safety factor of the anchor body, taken as 2.6; 𝑁 𝑎 𝑘 is the standard value of the bearing capacity; and 𝑓 𝑟 𝑏 𝑘 is the standard value of the ultimate bond strength between the rock‒soil layer and the anchor body, taken as 300 kPa according to a geological survey report. Based on calculations, the total length of the anchorage section should be 5.52 m, and the designed length is 6 m, with each anchorage section spanning 3 m.
To address prestress loss, in addition to adopting pressure-dispersed prestressed anchor cables, measures such as using low-relaxation steel strands, determining the appropriate anchor cable locking load, implementing secondary tensioning, and conducting secondary grouting on the anchor body can also be taken. In this project, all these measures were incorporated into the design, and appropriate methods were adopted based on monitoring results to mitigate prestress loss.
3 Key Design Techniques
3.1 Numerical Modeling Approach
Based on a typical cross-section of the landslide treatment, a2D plane-strain model was developed using PLAXIS 2D software. The model incorporates the following:
Anti-slide piles: Simulated as embedded pile elements to capture soil‒pile interactions.
Anchor cables:
Free segments: Modeled as point-to-point anchor elements.
Fixed segments: Represented by embedded pile elements to simulate grout‒ rock bonding.
The finite element model (Figure4) includes a prestressing force of 400 kN to the upper four composite anchor cables and 600 kN to the lower two cables.
The soil constitutive model is based on the hardening soil model, with parameters calibrated from laboratory tests (Table1) .
Figure4 2D finite element model
The construction steps are as follows:
(1) Anti-slide pile construction;
(2) Frame anchor cable construction;
(3) Slope excavation and construction of the anti-slide pile crown beam and anchor cables;
(4) Bridge pile foundation construction.
Table1Parameters of the soil
3.2 Analysis of Anti-Slide Piles
Figures 5 and 6 present the bending moments and displacements of the antislide pile at different construction stages.
Figure5 Bending moment diagram of anti-slide piles
Figure6 Displacement diagram of antislide piles
Key findings include the following.
After pile construction, the pile sustained a maximum bending moment of-460.51 kN·m (tension side near the high slope) and a maximum displacement of 2.59 mm, indicating that after construction of the pile foundation, owing to the high stiffness of the pile foundation, it began to bear the load of the slope landslide.
After frame anchor construction, the prestress force (400 kN) from the frame anchors counteracted the landslide thrust, reducing the maximum bending moment of the pile to 324.67 kN·m and the displacement to 1.93 mm. The anchors also induced a leftward deformation trend in the soil.
After the slope excavation in front of the piles was completed, the unstable slope tended to displace to the right. The frame anchor cables failed to fully counteract the increased landslide force, so the anti-slide piles bore most of the landslide force, which resulted in a sharp increase in the bending moment and displacement of the pile bodies; the bending moment increased to-6, 106.71 kN·m, and the displacement increased to 26.44 mm.
After the anchor cables for the anti-slide piles were constructed, a portion of the landslide force was redistributed by the prestress of the anchor cables, reducing the bending moment and displacement of the anti-slide pile bodies to-5, 384.12 kN·m and 22.91 mm, respectively.
3.3 Deformation Analysis
The deformation contour maps of the slope during the construction of the slope protection structure are shown in Figures 7 to 10. The natural slope has small deformation and is in a stable state, with the maximum deformation occurring at a slope height of approximately 38 m, which indicates that the slope is at risk of instability under disturbed conditions. According to Figures 7–8, during the construction of the anti-slide piles, the deformation of the slope was concentrated mainly within 5 m around the piles, and the range of influence behind the piles was smaller. After the construction of the frame anchor cables was completed, the range of influence of the deformation of the soil layer behind the piles increased significantly, which shows that the frame anchor cables effectively transmit the landslide force to the anchored soil layer and greatly share the landslide force borne by the anti-slide piles. As shown in Figures 9–10, after slope excavation in front of the piles was completed and the anchor cables for the anti-slide piles were constructed, the deformation of the soil layers in front of and behind the piles showed clear differences, and the amount of deformation and range of influence of the soil layer behind the piles were significantly greater than those in the soil layer in front of the piles. This strongly indicates that the frame anchor cables and the pile–anchor structure system has an effective synergistic effect, jointly bearing the landslide force of the slope.
Figure7 Deformation nephogram of natural slope
Figure8 Deformation nephogram of slope during anti-slide pile construction
Figure9 Deformation nephogram of slope during frame anchor cable construction
Figure10 Deformation nephogram of slope during pile-anchor construction
3.4 Analysis of the Impact of Different Support Methods on Bridges
To analyze the impact of slope support structures on bridge pile foundations, three models were constructed:
(1) only anti-slide piles
(2) only frame anchor cables
(3) combined support from frame anchor cables and anti-slide piles
The results are shown in Figures 11–12. The results of the analysis of bridge pile displacement reveal that under slope protection measures, the bridge pile foundations are less affected by landslide forces. When the bridge pile foundation is close to the high slope side, the pile displacement under the support of anti-slide piles is 3.95 mm, whereas under protection from the pile−anchor composite structure, the pile displacement is only 1.32 mm, which is a decrease of 66.58% compared with the former. When only frame anchor cables are used for slope protection, the maximum displacement of the bridge pile foundation is 1.41 mm, which is 64.30% less than that with the anti-slide pile support and 6.82% greater than that with the pile–anchor composite support.
The bending moment of the bridge pile foundation is 110.29 kN·m under support from the anti-slide piles and 105.10 kN·m under the pile−anchor composite structure, a decrease of 4.7%. When only frame anchor cables are used for slope protection, the maximum bending moment of the pile body is 113.84 kN·m, which is approximately 3.12% greater than that with the anti-slide pile support and approximately 8.31% greater than that with the pile−anchor composite support.
All support methods had significant protective effects on the bridge. For highslope areas, pile‒anchor composite structures can more effectively protect the bridge.
Figure11 Displacement diagram of bridge pile
Figure12 Bending moment of bridge pile
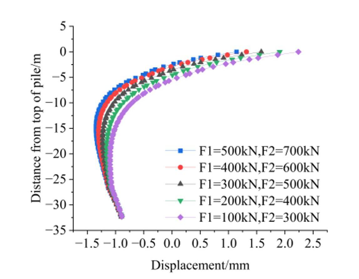
3.5 Analysis of the Impact of Different Prestress Levels on Bridges
In this study, by comparing five groups of anchor cable prestress reduction working conditions (where F1 and F2 are defined as the prestresses of the frame anchor cables and anti-slide pile anchor cables, respectively) , the influence of prestress changes on slope support was systematically analyzed. This study confirms that increasing anchor cable prestress can effectively suppress the displacement and internal force of bridge piles, but the marginal benefit tends to decrease with increasing prestress (shown in Figures 13 to 14) .
Figure13 Displacement diagram of bridge pile
Figure14 Bending moment of bridge pile
When arranged in descending order of prestress, the corresponding pile top displacements are1.14 mm, 1.32 mm, 1.58 mm, 1.91 mm, and 2.24 mm, and the maximum bending moments are104.80 kN·m, 105.09 kN·m, 105.64 kN·m, 106.34 kN·m, and 107.15 kN·m, respectively. The displacement reduction rates between
adjacent prestress working conditions are13.41%, 16.52%, 17.10%, and 14.82%, and the bending moment reduction rates are 0.28%, 0.52%, 0.66%, and 0.76%, respectively; this proves that, although increasing the prestress can enhance the protective effect on bridge piles, the improvement efficiency of this effect gradually decreases as the prestress increases.
3.6 Analysis of the Effect of Bridge Pile Foundations on Slopes
Owing to the use of pile foundations, the bridge's own load and the traffic load it bears are transmitted to the rock formation through the pile foundations. A part of this load is transferred to the upper soil layer in the form of pile side friction, which increases the vertical stress in the soil layer, thereby increasing the passive earth pressure in front of the anti-slide piles, which is equivalent to a counterpressure load. The other part of the load is transmitted to the deep soil through the pile tip; since it is far from the sliding surface of the landslide mass, its impact on the entire slope is minimal. During the construction and operation phases, dynamic loads have some impact on the slope, but the impact is limited.
4 Results
Compared with a single anti-slide pile or frame anchor cable, the combination of a frame anchor cable and an anti-slide pile can significantly reduce the internal force and deformation of the supporting structure.
The pile–anchor combination transfers the landslide force to the deep anchored soil layer, greatly reducing the deformation of the soil in front of the piles. The deformation of the soil in front of and behind the pile shows clear differences, which proves that the supporting system functions via a collaborative anti-slide mechanism.
For high-slope protection, prioritizing the pile‒anchor combination structure is recommended. The prestress of the anchor cable can actively offset the landslide force, thereby reducing the reliance on passive support.
Conflict of interest: All the authors disclosed no relevant relationships.
Data availability statement: The data that support the findings of this study are available from the corresponding author, Ma, upon reasonable request.
AUTHOR BIOGRAPHIES
Figure1Investigation of the distribution range of landslide accumulation
Figure2Investigation of the distribution range of landslide accumulation (unit: mm)
Figure3Pressure-dispersed prestressed anchor cables
Figure42D finite element model
Figure5Bending moment diagram of anti-slide piles
Figure6Displacement diagram of antislide piles
Figure7Deformation nephogram of natural slope
Figure8Deformation nephogram of slope during anti-slide pile construction
Figure9Deformation nephogram of slope during frame anchor cable construction
Figure10Deformation nephogram of slope during pile-anchor construction
Figure11Displacement diagram of bridge pile
Figure12Bending moment of bridge pile
Figure13Displacement diagram of bridge pile
Figure14Bending moment of bridge pile
Table1Parameters of the soil
Froude M. J., Petley D N. Global fatal landslide occurrence from 2004 to 2016. Natural Hazards and Earth System Sciences,2018,18(8):2161-2181,doi:10.5194/nhess-18-2161-2018
Huang, R. Large-scale Landslides and Their Sliding Mechanisms in China Since the20th Century. Chinese Journal of Rock Mechanics and Engineering2007,26,433-454.
Yang, M. Analysis Method and Load Mechanics for Rock Slope Bridge Piles. Degree of doctor, Hunan University, Changsha,2001.
Liu, J.;Zhao, M.;Yang, M. H. Model tests on bridge pile foundation in high and steep rock slopes. Chinese Journal of Geotechnical Engineering2009,31,372-377.doi:10.7860/jcdr/2015/11791.5737
Ren, Z. Application of uniformly distributed pressure dispersed anchor cable system in engineering. Prestress Technology 2017,21(03):17-20.doi:10.59238/j.pt.2017.03.004
Tian, Y. Comparison between Pressure Dispersion Type Anchor Rope and Tension Type Anchor Rope-Further Discussion on the New Series of Anchor Rope Structures and Their Engineering Applications. Prestress Technology 2002,6(03):32-40.doi:10.59238/j.pt.2002.03.009